Упражнение 177 ГДЗ Колягин Ткачёва 7 класс (Алгебра)
Чтобы успеть к отходу поезда, группа туристов должна пройти 22 км до станции за 6,5 ч. Туристы решили двигаться в следующем режиме:


Ниже вариант решения задания из учебника Колягин, Ткачёва, Фёдорова 7 класс, Просвещение:
Чтобы успеть к отходу поезда, группа туристов должна пройти 22 км до станции за 6,5 ч. Туристы решили двигаться в следующем режиме: сначала идти со скоростью 4 км/ч, делая через каждые 1,5 ч пятнадцатиминутный привал, а по прошествии 5,25 ч снизить скорость до 3 км/ч и идти без привалов. Успеют ли они прибыть на станцию до отхода поезда?
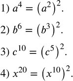
Записать в виде степени с показателем 2:
1) a^4;
2) b^6;
3) c^10;
4) x^20.
