Вводные упражнения 10 ГДЗ Колягин Ткачёва 7 класс (Алгебра)
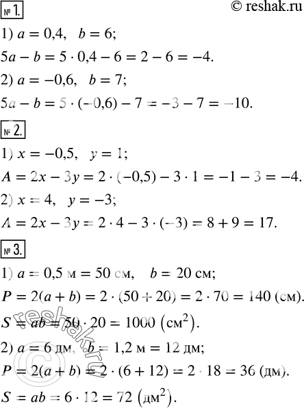
Найти значение выражения 5a-b, если: 1) a=0,4, b=6; 2) a=-0,6, b=7. 2. Найти значение A по формуле A=2x-3y, если: 1) x=-0,5, y=1;

Ниже вариант решения задания из учебника Колягин, Ткачёва, Фёдорова 7 класс, Просвещение:
Найти значение выражения 5a-b, если:
1) a=0,4, b=6; 2) a=-0,6, b=7.
2. Найти значение A по формуле A=2x-3y, если:
1) x=-0,5, y=1; 2) x=4, y=-3.
3. Найти периметр и площадь прямоугольника со сторонами a и b, если:
1) a=0,5 м, b=20 см; 2) a=6 дм, b=1,2 м.
