Упражнение 186 ГДЗ Колягин Ткачёва 7 класс (Алгебра)
Куплено 6 папок по цене x рублей и 3 пачки бумаги по цене y рублей. Написать формулу стоимости p всей покупки.


Ниже вариант решения задания из учебника Колягин, Ткачёва, Фёдорова 7 класс, Просвещение:
Куплено 6 папок по цене x рублей и 3 пачки бумаги по цене y рублей. Написать формулу стоимости p всей покупки.
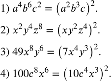
Записать выражение в виде степени с показателем 2:
1) a^4 b^6 c^2;
2) x^2 y^4 z^8;
3) 49x^8 y^6;
4) 100c^8 x^6.
