Упражнение 187 ГДЗ Колягин Ткачёва 7 класс (Алгебра)
В магазин привезли 15 ящиков слив по a килограммов в каждом и 20 ящиков яблок по b килограммов в каждом. Написать формулу массы m привезенного товара.Вычислить:


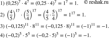
Ниже вариант решения задания из учебника Колягин, Ткачёва, Фёдорова 7 класс, Просвещение:
В магазин привезли 15 ящиков слив по a килограммов в каждом и 20 ящиков яблок по b килограммов в каждом. Написать формулу массы m привезенного товара.
Вычислить:
1) (0,25)^7•4^7;
2) (4/5)^17•(5/4)^17;
3) (-0,125)^11•8^11;
4) (-0,2)^5•5^5.
