Упражнение 200 ГДЗ Колягин Ткачёва 7 класс (Алгебра)
Привести подобные слагаемые: 1) 4a+2b+a-b; 2) x-2y-3x+5y; 3) 0,1c-0,3+d-c-2,1d; 4) 8,7-2m+n-1/3 m+2/3 n. Вычислить: 1) (6^12•4^12)/(3^12•8^12 ); 2) (4^10•3^10)/(2^10•6^10 ); 3) ?15?^4/(3^4•5^2•25);


Ниже вариант решения задания из учебника Колягин, Ткачёва, Фёдорова 7 класс, Просвещение:
Привести подобные слагаемые:
1) 4a+2b+a-b;
2) x-2y-3x+5y;
3) 0,1c-0,3+d-c-2,1d;
4) 8,7-2m+n-1/3 m+2/3 n.
Вычислить:
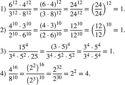
1) (6^12•4^12)/(3^12•8^12 );
2) (4^10•3^10)/(2^10•6^10 );
3) ?15?^4/(3^4•5^2•25);
4) 4^16/8^10 .
