Упражнение 216 ГДЗ Колягин Ткачёва 7 класс (Алгебра)
Найти значение выражения, предварительно упростив его: 1) (7x+8y)-(5x-2y) при x=-3/4,y=0,025; 2) (5c-6b)-(3c-5b) при c=-0,25,b=2,5. Возвести одночлен в степень: 1) (2a)^3; 2) (5b)^2;


Ниже вариант решения задания из учебника Колягин, Ткачёва, Фёдорова 7 класс, Просвещение:
Найти значение выражения, предварительно упростив его:
1) (7x+8y)-(5x-2y) при x=-3/4,y=0,025;
2) (5c-6b)-(3c-5b) при c=-0,25,b=2,5.
Возвести одночлен в степень:
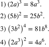
1) (2a)^3;
2) (5b)^2;
3) (3b^2 )^4;
4) (2a^3 )^2.
