Упражнение 217 ГДЗ Колягин Ткачёва 7 класс (Алгебра)
Доказать, что: 1) разность чисел 8m-n и 5m-4n делится на 3, если m и n - натуральные числа; 2) сумма числа 5m-3n и числа, противоположного числу m-7n, делится на 4, если m и n - натуральные числа;


Ниже вариант решения задания из учебника Колягин, Ткачёва, Фёдорова 7 класс, Просвещение:
Доказать, что:
1) разность чисел 8m-n и 5m-4n делится на 3, если m и n - натуральные числа;
2) сумма числа 5m-3n и числа, противоположного числу m-7n, делится на 4, если m и n - натуральные числа;
3) при любых значениях a значение выражения 2(3a-5)-(7-(5-6a)) отрицательно;
4) сумма любых двух нечетных чисел является четным числом.
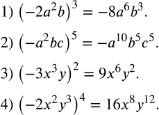
Возвести одночлен в степень:
1) (-2a^2 b)^3;
2) (-a^2 bc)^5;
3) (-3x^3 y)^2;
4) (-2x^2 y^3 )^4.
