Упражнение 218 ГДЗ Колягин Ткачёва 7 класс (Алгебра)
Выяснить, верно ли утверждение: 1) сумма любых двух четных чисел делится на 4; 2) произведение любых двух двухзначных чисел есть трехзначное число.Возвести одночлен в степень:


Ниже вариант решения задания из учебника Колягин, Ткачёва, Фёдорова 7 класс, Просвещение:
Выяснить, верно ли утверждение:
1) сумма любых двух четных чисел делится на 4;
2) произведение любых двух двухзначных чисел есть трехзначное число.
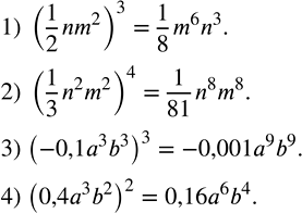
Возвести одночлен в степень:
1) (1/2 nm^2 )^3;
2) (1/3 n^2 m^2 )^4;
3) (-0,1a^3 b^3 )^3;
4) (0,4a^3 b^2 )^2.
