Упражнение 265 ГДЗ Колягин Ткачёва 7 класс (Алгебра)
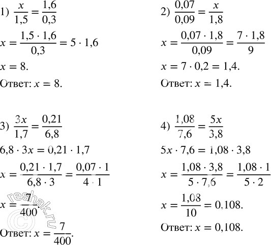
Решить уравнение, используя свойства пропорции: 1) x/1,5=1,6/0,3; 2) 0,07/0,09=x/1,8; 3) 3x/1,7=0,21/6,8; 4) 1,08/7,6=5x/3,8. Выполнить умножение многочленов: 1) (c-4)(d-3); 2) (a-10)(-a-2); 3) (x+y)(x+1);


Ниже вариант решения задания из учебника Колягин, Ткачёва, Фёдорова 7 класс, Просвещение:
Решить уравнение, используя свойства пропорции:
1) x/1,5=1,6/0,3;
2) 0,07/0,09=x/1,8;
3) 3x/1,7=0,21/6,8;
4) 1,08/7,6=5x/3,8.
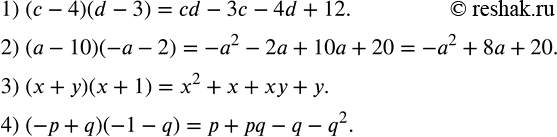
Выполнить умножение многочленов:
1) (c-4)(d-3);
2) (a-10)(-a-2);
3) (x+y)(x+1);
4) (-p+q)(-1-q).
