Упражнение 266 ГДЗ Колягин Ткачёва 7 класс (Алгебра)
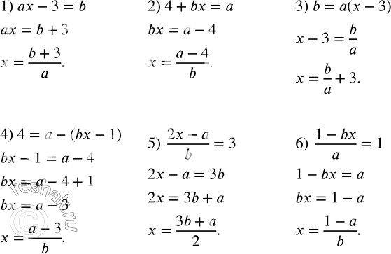
Решить уравнение относительно x, если a и b - заданные числа, отличные от нуля: 1) ax-3=b; 2) 4+bx=a; 3) b=a(x-3); 4) 4=a-(bx-1);


Ниже вариант решения задания из учебника Колягин, Ткачёва, Фёдорова 7 класс, Просвещение:
Решить уравнение относительно x, если a и b - заданные числа, отличные от нуля:
1) ax-3=b;
2) 4+bx=a;
3) b=a(x-3);
4) 4=a-(bx-1);
5) (2x-a)/b=3;
6) (1-bx)/a=1.
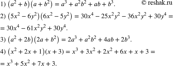
Выполнить умножение многочленов:
1) (a^2+b)(a+b^2 );
2) (5x^2-6y^2 )(6x^2-5y^2 );
3) (a^2+2b)(2a+b^2 );
4) (x^2+2x+1)(x+3).
