Упражнение 267 ГДЗ Колягин Ткачёва 7 класс (Алгебра)
Решить уравнение: 1) |x|=2,5; 2) |x|=3; 3) 2|x|=0,48; 4) 5|x|=1,15; 5) |2x|=1,4; 6) |3x|=0,03. Выполнить умножение многочленов: 1) (2a-b)(4a^2+2ab+b^2 ); 2) (3a-2b)(9a^2+6ab+4b^2 );


Ниже вариант решения задания из учебника Колягин, Ткачёва, Фёдорова 7 класс, Просвещение:
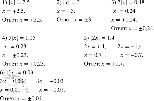
Решить уравнение:
1) |x|=2,5;
2) |x|=3;
3) 2|x|=0,48;
4) 5|x|=1,15;
5) |2x|=1,4;
6) |3x|=0,03.
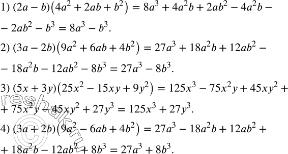
Выполнить умножение многочленов:
1) (2a-b)(4a^2+2ab+b^2 );
2) (3a-2b)(9a^2+6ab+4b^2 );
3) (5x+3y)(25x^2-15xy+9y^2 );
4) (3a+2b)(9a^2-6ab+4b^2 ).
