Упражнение 268 ГДЗ Колягин Ткачёва 7 класс (Алгебра)
Ученик задумал число. Если его умножить на 4, к произведению прибавить 8 и полученную сумму разделить на 2, то получится 10.


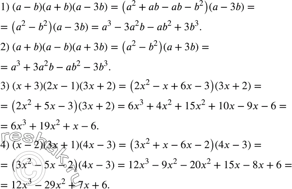
Ниже вариант решения задания из учебника Колягин, Ткачёва, Фёдорова 7 класс, Просвещение:
Ученик задумал число. Если его умножить на 4, к произведению прибавить 8 и полученную сумму разделить на 2, то получится 10. Какое число задумал ученик?
Выполнить умножение многочленов:
1) (a-b)(a+b)(a-3b);
2) (a+b)(a-b)(a+3b);
3) (x+3)(2x-1)(3x+2);
4) (x-2)(3x+1)(4x-3).
