Упражнение 269 ГДЗ Колягин Ткачёва 7 класс (Алгебра)
1) Поезд имеет в своем составе цистерны, платформы и товарные вагоны. Цистерн на 4 меньше, чем платформ, и в 2 раза меньше, чем товарных вагонов.


Ниже вариант решения задания из учебника Колягин, Ткачёва, Фёдорова 7 класс, Просвещение:
1) Поезд имеет в своем составе цистерны, платформы и товарные вагоны. Цистерн на 4 меньше, чем платформ, и в 2 раза меньше, чем товарных вагонов. Сколько в составе поезда отдельно цистерн, платформ и товарных вагонов, если их общее число равно 68?
2) Три цеза изготовили 869 деталей. Второй цех изготовил деталей в 3 раза больше, чем первый, а третий - на 139 меньше, чем второй. Сколько деталей изготовил каждый цех отдельно?
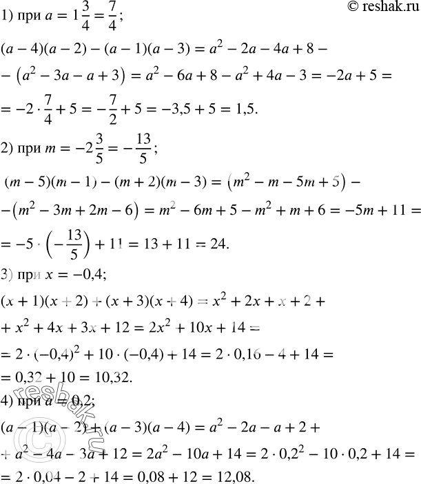
Найти значение алгебраического выражения, предварительно упростив его:
1) (a-4)(a-2)-(a-1)(a-3) при a=1 3/4;
2) (m-5)(m-1)-(m+2)(m-3) при m=-2 3/5;
3) (x+1)(x+2)+(x+3)(x+4) при x=-0,4;
4) (a-1)(a-2)+(a-3)(a-4) при a=0,2.
