Упражнение 289 ГДЗ Колягин Ткачёва 7 класс (Алгебра)
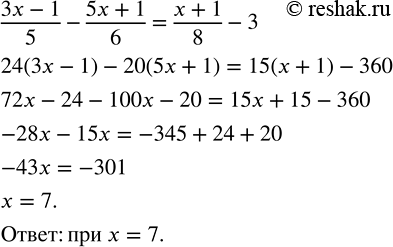
При каком значении x значения выражений равны: (3x-1)/5-(5x+1)/6 и (x+1)/8-3? Выполнить деление: 1) (6a-8b+10) :2; 2) (8x+12y-16) :(-4); 3) (10a^2-12ab+8a) :2a;


Ниже вариант решения задания из учебника Колягин, Ткачёва, Фёдорова 7 класс, Просвещение:
При каком значении x значения выражений равны:
(3x-1)/5-(5x+1)/6 и (x+1)/8-3?
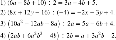
Выполнить деление:
1) (6a-8b+10) :2;
2) (8x+12y-16) :(-4);
3) (10a^2-12ab+8a) :2a;
4) (2ab+6a^2 b^2-4b) :2b.
