Упражнение 290 ГДЗ Колягин Ткачёва 7 класс (Алгебра)
Подобрать число a такое, чтобы уравнение имело корни: 1) 5x-7=5x-a; 2) x-(2-x)=2x-a; 3) a/2-x/2=1/2 x-(x-8); 4) x/3+a/5=(x+15)-2/3 x. Упростить выражение: 1) (6a^3-3a^2 ) :a^2+(12a^2+9a) :(3a);


Ниже вариант решения задания из учебника Колягин, Ткачёва, Фёдорова 7 класс, Просвещение:
Подобрать число a такое, чтобы уравнение имело корни:
1) 5x-7=5x-a;
2) x-(2-x)=2x-a;
3) a/2-x/2=1/2 x-(x-8);
4) x/3+a/5=(x+15)-2/3 x.
Упростить выражение:
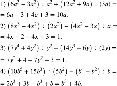
1) (6a^3-3a^2 ) :a^2+(12a^2+9a) :(3a);
2) (8x^3-4x^2 ) :(2x^2 )-(4x^2-3x) :x;
3) (7y^4+4y^2 ) :y^2-(14y^3+6y) :(2y);
4) (10b^5+15b^3 ) :(5b^2 )-(b^4-b^2 ) :b.
