Упражнение 354 ГДЗ Колягин Ткачёва 7 класс (Алгебра)
Вычислить: 1) (0,25)^7•4^7; 2) (4/5)^17•(5/4)^17; 3) (-0,125)^11•8^11; 4) (-0,2)^5•5^5. Разложить на множители: 1) 36x^2 y^2-1; 2) 81a^6-49b^4; 3) x^2 y^4-16; 4) 25a^2-9b^6.


Ниже вариант решения задания из учебника Колягин, Ткачёва, Фёдорова 7 класс, Просвещение:
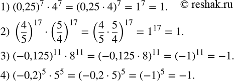
Вычислить:
1) (0,25)^7•4^7;
2) (4/5)^17•(5/4)^17;
3) (-0,125)^11•8^11;
4) (-0,2)^5•5^5.
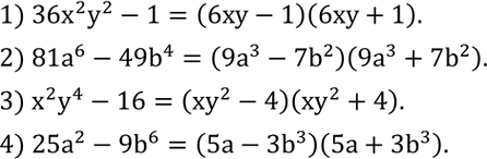
Разложить на множители:
1) 36x^2 y^2-1;
2) 81a^6-49b^4;
3) x^2 y^4-16;
4) 25a^2-9b^6.
