Упражнение 355 ГДЗ Колягин Ткачёва 7 класс (Алгебра)
Вычислить: 1) (2^8•3^8)/6^5 ; 2) (4^5•3^5)/?12?^3 ; 3) ?10?^5/(2^5•5^5 ); 4) ?14?^4/(2^3•7^3 ). Разложить на множители: 1) a^4-b^4; 2) a^4-b^8; 3) a^4-16;


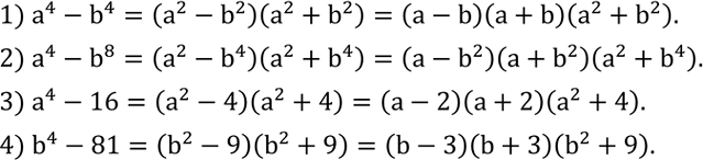
Ниже вариант решения задания из учебника Колягин, Ткачёва, Фёдорова 7 класс, Просвещение:
Вычислить:
1) (2^8•3^8)/6^5 ;
2) (4^5•3^5)/?12?^3 ;
3) ?10?^5/(2^5•5^5 );
4) ?14?^4/(2^3•7^3 ).
Разложить на множители:
1) a^4-b^4;
2) a^4-b^8;
3) a^4-16;
4) b^4-81.
