Упражнение 392 ГДЗ Колягин Ткачёва 7 класс (Алгебра)
Записать одночлен в виде куба другого одночлена: 1) 27a^3; 2) 8b^6; 3) 27a^3 b^12; 4) 8a^9 b^6; 5) 1/125 x^9 y^12;


Ниже вариант решения задания из учебника Колягин, Ткачёва, Фёдорова 7 класс, Просвещение:
Записать одночлен в виде куба другого одночлена:
1) 27a^3;
2) 8b^6;
3) 27a^3 b^12;
4) 8a^9 b^6;
5) 1/125 x^9 y^12;
6) -0,027x^3 y^15.
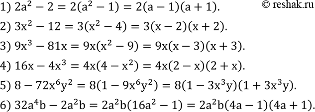
Разложить на множители:
1) 2a^2-2;
2) 3x^2-12;
3) 9x^3-81x;
4) 16x-4x^3;
5) 8-72x^6 y^2;
6) 32a^4 b-2a^2 b.
