Упражнение 438 ГДЗ Колягин Ткачёва 7 класс (Алгебра)
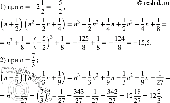
Вычислить значение выражения: 1) (n+1/2)(n^2-1/2 n+1/4) при n=-2 1/2; 2) (n-1/3)(n^2+1/3 n+1/9) при n=7/3. Разложить на множители числитель и знаменатель дроби и сократить ее:


Ниже вариант решения задания из учебника Колягин, Ткачёва, Фёдорова 7 класс, Просвещение:
Вычислить значение выражения:
1) (n+1/2)(n^2-1/2 n+1/4) при n=-2 1/2;
2) (n-1/3)(n^2+1/3 n+1/9) при n=7/3.
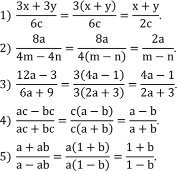
Разложить на множители числитель и знаменатель дроби и сократить ее:
1) (3x+3y)/6c;
2) 8a/(4m-4n);
3) (12a-3)/(6a+9);
4) (ac-bc)/(ac+bc);
5) (a+ab)/(a-ab).
