Упражнение 463 ГДЗ Колягин Ткачёва 7 класс (Алгебра)
Вычислить: 1) (3/5)^4•5^3/3^2 ; 2) 7^5/5^7 •(5/7)^6; 3) (2/3)^3•(3/2)^5; 4) (3/4)^6•(4/3)^8. Выполнить действия: 1) 2/3a+1/a; 2) 1/b-2/5b; 3) c/15a+d/3; 4) a/4-b/12d.


Ниже вариант решения задания из учебника Колягин, Ткачёва, Фёдорова 7 класс, Просвещение:
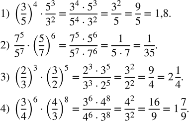
Вычислить:
1) (3/5)^4•5^3/3^2 ;
2) 7^5/5^7 •(5/7)^6;
3) (2/3)^3•(3/2)^5;
4) (3/4)^6•(4/3)^8.
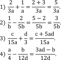
Выполнить действия:
1) 2/3a+1/a;
2) 1/b-2/5b;
3) c/15a+d/3;
4) a/4-b/12d.
