Упражнение 461 ГДЗ Колягин Ткачёва 7 класс (Алгебра)
Вычислить: 1) (-0,2)^4/(0,1)^5 ; 2) (0,3)^3/(-0,1)^4 ; 3) (3,2)^2/(1,6)^2 ; 4) (2,6)^2/(1,3)^2 . Пусть n - натуральное число. Найти общий знаменатель дробей:


Ниже вариант решения задания из учебника Колягин, Ткачёва, Фёдорова 7 класс, Просвещение:
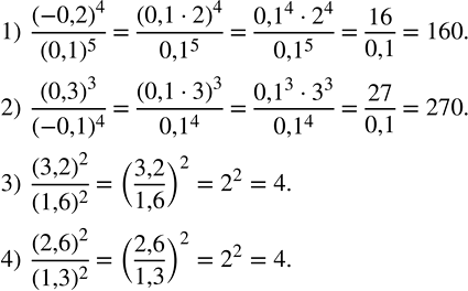
Вычислить:
1) (-0,2)^4/(0,1)^5 ;
2) (0,3)^3/(-0,1)^4 ;
3) (3,2)^2/(1,6)^2 ;
4) (2,6)^2/(1,3)^2 .
Пусть n - натуральное число. Найти общий знаменатель дробей:
1) 1/(x^4n-y^4n ),1/(x^2n-y^2n ) и 1/(x^n-y^n );
2) 1/(a^2n-b^2n ),1/(a^n-b^n ) и 1/(a^n+b^n ).
