Упражнение 458 ГДЗ Колягин Ткачёва 7 класс (Алгебра)
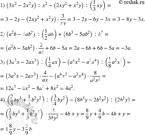
Упростить выражение: 1) (3x^2-2x^2 y) :x^2-(2xy^2+x^2 y) :(1/3 xy); 2) (a^2 b-3ab^2 ) :(1/2 ab)+(6b^3-5ab^2 ) :b^2; 3) (3a^3 x-2ax^3 ) :(1/4 ax)-(a^4 x^2-a^2 x^4 ) :(1/8 a^2 x^2 );


Ниже вариант решения задания из учебника Колягин, Ткачёва, Фёдорова 7 класс, Просвещение:
Упростить выражение:
1) (3x^2-2x^2 y) :x^2-(2xy^2+x^2 y) :(1/3 xy);
2) (a^2 b-3ab^2 ) :(1/2 ab)+(6b^3-5ab^2 ) :b^2;
3) (3a^3 x-2ax^3 ) :(1/4 ax)-(a^4 x^2-a^2 x^4 ) :(1/8 a^2 x^2 );
4) (2/3 by^3+1/3 b^2 y^2 ) :(3/4 by^2 )-(8b^3 y-2b^2 y^2 ) :(2b^2 y).
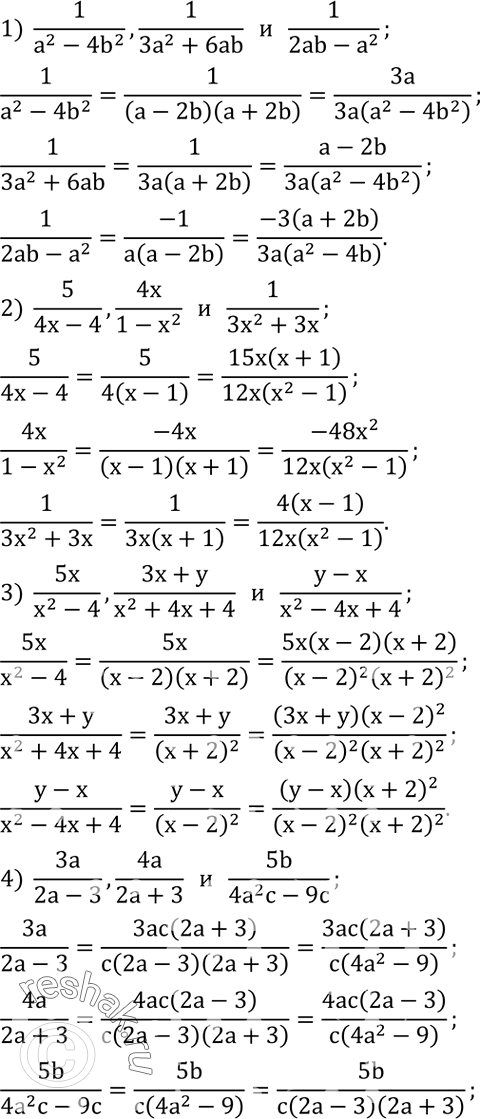
Привести к общему знаменателю:
1) 1/(a^2-4b^2 ),1/(3a^2+6ab) и 1/(2ab-a^2 );
2) 5/(4x-4),4x/(1-x^2 ) и 1/(3x^2+3x);
3) 5x/(x^2-4),(3x+y)/(x^2+4x+4) и (y-x)/(x^2-4x+4);
4) 3a/(2a-3),4a/(2a+3) и 5b/(4a^2 c-9c).
