Упражнение 462 ГДЗ Колягин Ткачёва 7 класс (Алгебра)
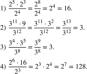
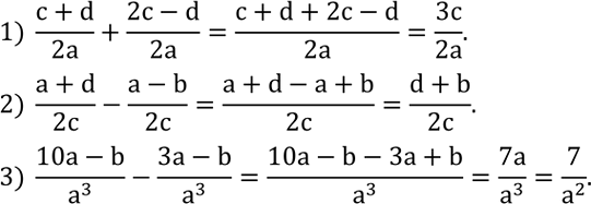
Вычислить: 1) (2^5•2^3)/2^4 ; 2) (3^11•9)/3^12 ; 3) (3^4•3^5)/3^8 ; 4) (2^6•16)/2^3 . Выполнить действия: 1) (c+d)/2a+(2c-d)/2a; 2) (a+d)/2c-(a-b)/2c; 3) (10a-b)/a^3 -(3a-b)/a^3 .


Ниже вариант решения задания из учебника Колягин, Ткачёва, Фёдорова 7 класс, Просвещение:
Вычислить:
1) (2^5•2^3)/2^4 ;
2) (3^11•9)/3^12 ;
3) (3^4•3^5)/3^8 ;
4) (2^6•16)/2^3 .
Выполнить действия:
1) (c+d)/2a+(2c-d)/2a;
2) (a+d)/2c-(a-b)/2c;
3) (10a-b)/a^3 -(3a-b)/a^3 .
