Упражнение 459 ГДЗ Колягин Ткачёва 7 класс (Алгебра)
Найти значение алгебраического выражения: (18a^4-27a^3 ) :(9a^2 )-10a^3 :(5a) при a=-8. Решить уравнение: 1) (2x+1)(x+3)/75-(4-x)(4+x)/25=x(x+2)/15; 2) x(x-1)/7-2(x^2+1)/28=(x-1)(x+2)/14; 3) (2-x)(2+x)/3-(x-x^2)/4=(x-1)^2/9-(7x^2)/36; 4) (x-2)^2/5+(2x^2-3)/15=(x-1)(x+1)/3.



Ниже вариант решения задания из учебника Колягин, Ткачёва, Фёдорова 7 класс, Просвещение:
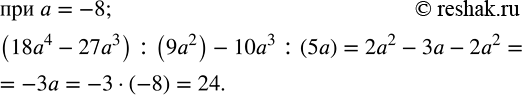
Найти значение алгебраического выражения:
(18a^4-27a^3 ) :(9a^2 )-10a^3 :(5a) при a=-8.
Решить уравнение:
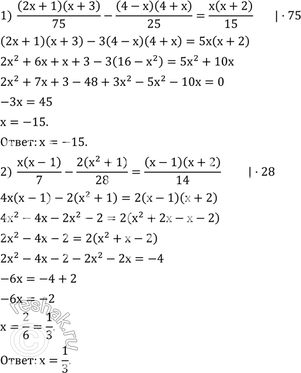
1) (2x+1)(x+3)/75-(4-x)(4+x)/25=x(x+2)/15;
2) x(x-1)/7-2(x^2+1)/28=(x-1)(x+2)/14;
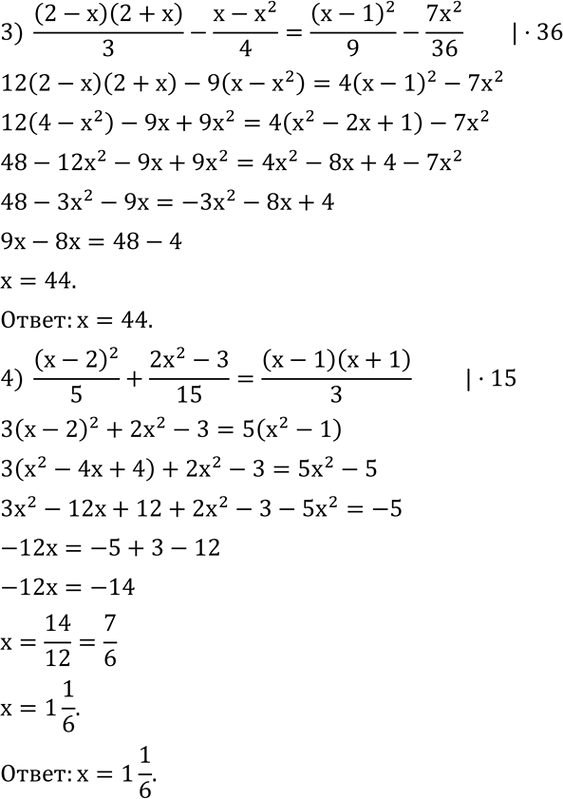
3) (2-x)(2+x)/3-(x-x^2)/4=(x-1)^2/9-(7x^2)/36;
4) (x-2)^2/5+(2x^2-3)/15=(x-1)(x+1)/3.
