Упражнение 492 ГДЗ Колягин Ткачёва 7 класс (Алгебра)
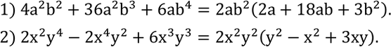
Вынести за скобки общий множитель: 1) 4a^2 b^2+36a^2 b^3+6ab^4; 2) 2x^2 y^4-2x^4 y^2+6x^3 y^3. Решить уравнение относительно x, если a?0,b?0,a?b,a?-b: 1) (a+b)/x=(a^2-b^2)/a;


Ниже вариант решения задания из учебника Колягин, Ткачёва, Фёдорова 7 класс, Просвещение:
Вынести за скобки общий множитель:
1) 4a^2 b^2+36a^2 b^3+6ab^4;
2) 2x^2 y^4-2x^4 y^2+6x^3 y^3.
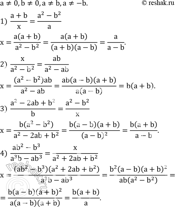
Решить уравнение относительно x, если a?0,b?0,a?b,a?-b:
1) (a+b)/x=(a^2-b^2)/a;
2) x/(a^2-b^2 )=ab/(a^2-ab);
3) (a^2-2ab+b^2)/b=(a^2-b^2)/x;
4) (ab^2-b^3)/(a^3 b-ab^3 )=x/(a^2+2ab+b^2 ).
