Упражнение 493 ГДЗ Колягин Ткачёва 7 класс (Алгебра)
Вынести за скобки общий множитель: 1) ab-ac+a^2; 2) xy-x^2+xz; 3) 6a^2-3a+12ba; 4) 4b^2+8ab-12a^2 b. Упростить: 1) (a^2-2ab+b^2)/(a^2-ab+b^2 ) :(8a-8b)/(a^3+b^3 ); 2) (a^2+2ab+b^2)/(a^2+ab+b^2 )•(a^3-b^3)/(7a+7b);


Ниже вариант решения задания из учебника Колягин, Ткачёва, Фёдорова 7 класс, Просвещение:
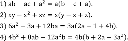
Вынести за скобки общий множитель:
1) ab-ac+a^2;
2) xy-x^2+xz;
3) 6a^2-3a+12ba;
4) 4b^2+8ab-12a^2 b.
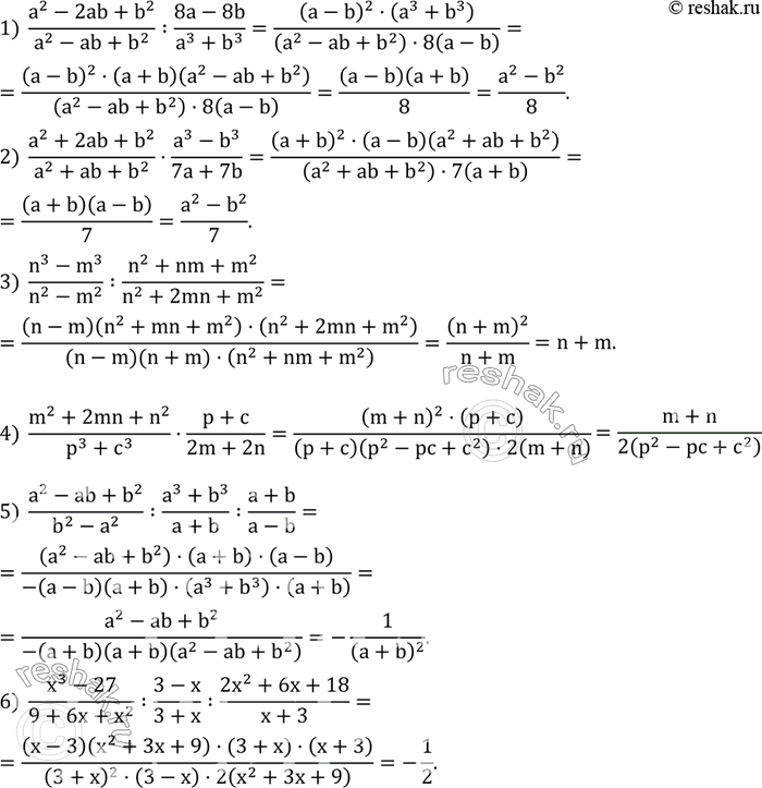
Упростить:
1) (a^2-2ab+b^2)/(a^2-ab+b^2 ) :(8a-8b)/(a^3+b^3 );
2) (a^2+2ab+b^2)/(a^2+ab+b^2 )•(a^3-b^3)/(7a+7b);
3) (n^3-m^3)/(n^2-m^2 ) :(n^2+nm+m^2)/(n^2+2mn+m^2 );
4) (m^2+2mn+n^2)/(p^3+c^3 )•(p+c)/(2m+2n);
5) (a^2-ab+b^2)/(b^2-a^2 ) :(a^3+b^3)/(a+b) :(a+b)/(a-b);
6) (x^3-27)/(9+6x+x^2 ) :(3-x)/(3+x) :(2x^2+6x+18)/(x+3).
