Упражнение 495 ГДЗ Колягин Ткачёва 7 класс (Алгебра)
Разложить на множители: 1) a(m+n)+b(m+n); 2) b(a+5)-c(a+5); 3) a(b-5)-(b-5); 4) (y-3)+b(y-3). Выполнить действия: 1) (a/2+a/3)•1/a^2 ; 2) a^2/3•(2/a+2/a^2 ); 3) (a-b)/(a+b)•(a/5+b/5);


Ниже вариант решения задания из учебника Колягин, Ткачёва, Фёдорова 7 класс, Просвещение:
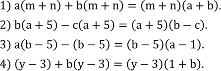
Разложить на множители:
1) a(m+n)+b(m+n);
2) b(a+5)-c(a+5);
3) a(b-5)-(b-5);
4) (y-3)+b(y-3).
Выполнить действия:
1) (a/2+a/3)•1/a^2 ;
2) a^2/3•(2/a+2/a^2 );
3) (a-b)/(a+b)•(a/5+b/5);
4) ab/(a-b)•(1/b-1/a);
5) 1:(1-1/a);
6) b:(b+1/b).
