Упражнение 553 ГДЗ Колягин Ткачёва 7 класс (Алгебра)
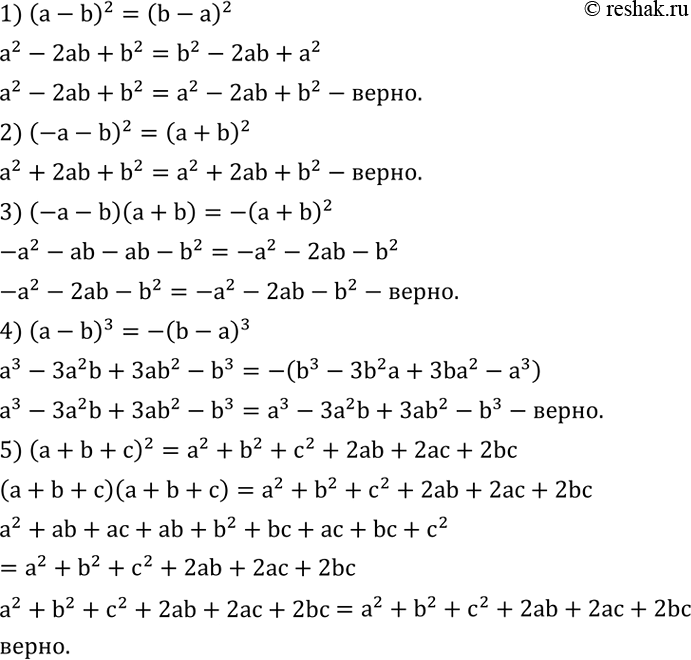
Доказать, что: 1) (a-b)^2=(b-a)^2; 2) (-a-b)^2=(a+b)^2; 3) (-a-b)(a+b)=-(a+b)^2; 4) (a-b)^3=-(b-a)^3; 5) (a+b+c)^2=a^2+b^2+c^2+2ab+2ac+2bc. Заполнить таблицу (перечертив ее в тетрадь). *Цитирирование задания со ссылкой на учебник производится исключительно в учебных целях для лучшего понимания разбора решения задания.


Ниже вариант решения задания из учебника Колягин, Ткачёва, Фёдорова 7 класс, Просвещение:
Доказать, что:
1) (a-b)^2=(b-a)^2;
2) (-a-b)^2=(a+b)^2;
3) (-a-b)(a+b)=-(a+b)^2;
4) (a-b)^3=-(b-a)^3;
5) (a+b+c)^2=a^2+b^2+c^2+2ab+2ac+2bc.
Заполнить таблицу (перечертив ее в тетрадь).
