Упражнение 552 ГДЗ Колягин Ткачёва 7 класс (Алгебра)
Упростить выражение: 1) (x-y)^2+(x+y)^2; 2) (x+y)^2-(x-y)^2; 3) (2a+b)^2-(2a-b)^2; 4) (2a+b)^2+(2a-b)^2. Плотность гранита составляет 2600 кг/м^3. Выразить массу m как функцию от его объема V.


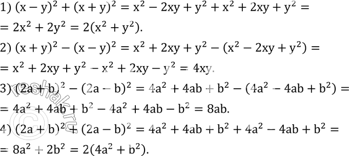
Ниже вариант решения задания из учебника Колягин, Ткачёва, Фёдорова 7 класс, Просвещение:
Упростить выражение:
1) (x-y)^2+(x+y)^2;
2) (x+y)^2-(x-y)^2;
3) (2a+b)^2-(2a-b)^2;
4) (2a+b)^2+(2a-b)^2.
Плотность гранита составляет 2600 кг/м^3. Выразить массу m как функцию от его объема V.
1) Найти значение m при V=1,5 м^3; V=10 м^3.
2) Каков должен быть объем гранита, чтобы его масса была 5,2 ц; 7,8 т?
