Упражнение 554 ГДЗ Колягин Ткачёва 7 класс (Алгебра)
Найти значение выражения: 1) 5m^2-10mn+5n^2 при m=142; n=42; 2) 6m^2+12mn+6n^2 при m=56; n=44; 3) -36a^3+4a^2 b-1/9 ab^2 при a=4; b=48; 4) -64a^3-8a^2 b-1/4 ab^2 при a=-6;


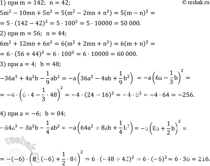
Ниже вариант решения задания из учебника Колягин, Ткачёва, Фёдорова 7 класс, Просвещение:
Найти значение выражения:
1) 5m^2-10mn+5n^2 при m=142; n=42;
2) 6m^2+12mn+6n^2 при m=56; n=44;
3) -36a^3+4a^2 b-1/9 ab^2 при a=4; b=48;
4) -64a^3-8a^2 b-1/4 ab^2 при a=-6; b=84.
График функции y(x) - ломаная ABCDE, где A (-2;2), B (0;4), C (5;4), D (9;2), E (13;-2).
1) Построить этот график.
2) Используя график, найти y(-1), y(0), y(10).
3) При каком значении x значение функции y(x) равно 3; -1; 0?
4) Указать три значения x, при которых функция принимает положительные значения, и три значения x, при которых функция принимает отрицательные значения.
