Упражнение 560 ГДЗ Колягин Ткачёва 7 класс (Алгебра)
Разложить на множители: 1) 2a^2+4ab+2b^2; 2) 2m^2+2n^2-4mn; 3) 5x^2+10xy+5y^2; 4) 8p^2-16p+8; 5) 27a^2 b^2-18ab+3; 6) 12m^5 n+24m^4 n+12m^3 n. Построить график функции:



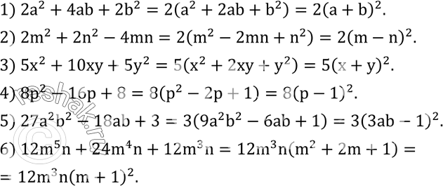
Ниже вариант решения задания из учебника Колягин, Ткачёва, Фёдорова 7 класс, Просвещение:
Разложить на множители:
1) 2a^2+4ab+2b^2;
2) 2m^2+2n^2-4mn;
3) 5x^2+10xy+5y^2;
4) 8p^2-16p+8;
5) 27a^2 b^2-18ab+3;
6) 12m^5 n+24m^4 n+12m^3 n.
Построить график функции:
1) y=2 1/2 x; 2) y=1/4 x; 3) y=0,6x.
