Упражнение 559 ГДЗ Колягин Ткачёва 7 класс (Алгебра)
Разложить на множители: 1) 2a^2-2; 2) 3x^2-12; 3) 9x^3-81x; 4) 16x-4x^3; 5) 8-72x^6 y^2; 6) 32a^4 b-2a^2 b. Построить график функции:



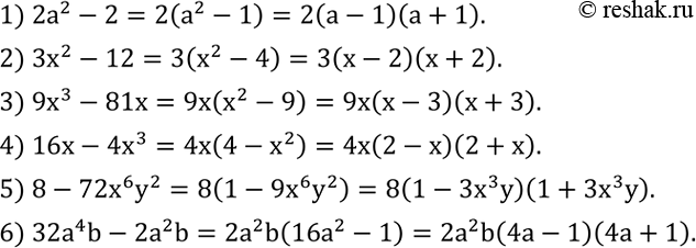
Ниже вариант решения задания из учебника Колягин, Ткачёва, Фёдорова 7 класс, Просвещение:
Разложить на множители:
1) 2a^2-2;
2) 3x^2-12;
3) 9x^3-81x;
4) 16x-4x^3;
5) 8-72x^6 y^2;
6) 32a^4 b-2a^2 b.
Построить график функции:
1) y=1,5x; 2) y=-2,5x; 3) y=-0,2x.
