Упражнение 557 ГДЗ Колягин Ткачёва 7 класс (Алгебра)
Разложить многочлен на множители: 1) 125+75a+15a^2+a^3; 2) m^3-12m^2+48m-64; 3) x^6-3x^4 y+3x^2 y-y^3; 4) c^6+3c^4 d^2+3c^2 d^4+d^6. Автомобиль «Волга» движется по шоссе со скоростью 80 км/ч.


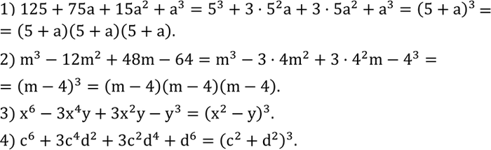
Ниже вариант решения задания из учебника Колягин, Ткачёва, Фёдорова 7 класс, Просвещение:
Разложить многочлен на множители:
1) 125+75a+15a^2+a^3;
2) m^3-12m^2+48m-64;
3) x^6-3x^4 y+3x^2 y-y^3;
4) c^6+3c^4 d^2+3c^2 d^4+d^6.
Автомобиль «Волга» движется по шоссе со скоростью 80 км/ч. Записать формулу, выражающую зависимость длины пути s (в км) от времени движения t (в ч). Чему равно s(3), s(5,4)?
