Вводные упражнения 30 ГДЗ Колягин Ткачёва 7 класс (Алгебра)
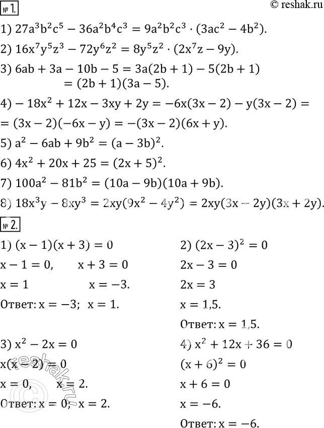
Разложить на множители: 1) 27a^3 b^2 c^5-36a^2 b^4 c^3; 2) 16x^7 y^5 z^3-72y^6 z^2; 3) 6ab+3a-10b-5; 4)-18x^2+12x-3xy+2y; 5) a^2-6ab+9b^2; 6) 4x^2+20x+25;

Ниже вариант решения задания из учебника Колягин, Ткачёва, Фёдорова 7 класс, Просвещение:
Разложить на множители:
1) 27a^3 b^2 c^5-36a^2 b^4 c^3; 2) 16x^7 y^5 z^3-72y^6 z^2;
3) 6ab+3a-10b-5; 4)-18x^2+12x-3xy+2y;
5) a^2-6ab+9b^2; 6) 4x^2+20x+25;
7) 100a^2-81b^2; 8) 18x^3 y-8xy^3.
2. Решить уравнение:
1) (x-1)(x+3)=0; 2) (2x-3)^2=0;
3) x^2-2x=0; 4) x^2+12x+36=0.
