Упражнение 190 ГДЗ Колягин Ткачёва 7 класс (Алгебра)
Сколько времени проводит ученик в школе в тот день, когда у него a уроков по 45 мин, b перемен по 15 мин и c перемен по 10 мин?


Ниже вариант решения задания из учебника Колягин, Ткачёва, Фёдорова 7 класс, Просвещение:
Сколько времени проводит ученик в школе в тот день, когда у него a уроков по 45 мин, b перемен по 15 мин и c перемен по 10 мин? Составить выражение для решения этой задачи.
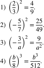
Возвести в степень дробь:
1) (2/3)^2;
2) (-5/7)^2;
3) (-3/a)^2;
4) (b/8)^3.
