Упражнение 188 ГДЗ Колягин Ткачёва 7 класс (Алгебра)
На машину погрузили a мешков пшеницы по l килограммов в каждом и c мешков овса по n килограммов в каждом. Написать формулу массы m зерна на машине.Вычислить:


Ниже вариант решения задания из учебника Колягин, Ткачёва, Фёдорова 7 класс, Просвещение:
На машину погрузили a мешков пшеницы по l килограммов в каждом и c мешков овса по n килограммов в каждом. Написать формулу массы m зерна на машине.
Вычислить:
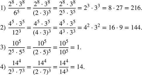
1) (2^8•3^8)/6^5 ;
2) (4^5•3^5)/?12?^3 ;
3) ?10?^5/(2^5•5^5 );
4) ?14?^4/(2^3•7^3 ).
