Упражнение 189 ГДЗ Колягин Ткачёва 7 класс (Алгебра)
В кинотеатре m рядов по n мест в каждом и еще k откидных мест. Сколько мест в кинотеатре? Составить выражение для решения задачи и провести вычисления при m=30, n=25, k=60.Вычислить:


Ниже вариант решения задания из учебника Колягин, Ткачёва, Фёдорова 7 класс, Просвещение:
В кинотеатре m рядов по n мест в каждом и еще k откидных мест. Сколько мест в кинотеатре? Составить выражение для решения задачи и провести вычисления при m=30, n=25, k=60.
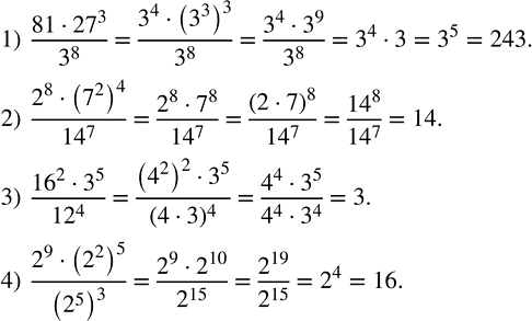
Вычислить:
1) (81•?27?^3)/3^8 ;
2) (2^8•(7^2 )^4)/?14?^7 ;
3) (?16?^2•3^5)/?12?^4 ;
4) (2^9•(2^2 )^5)/(2^5 )^3 .
