Упражнение 11.8 ГДЗ Мордкович Семенов 9 класс (Алгебра)
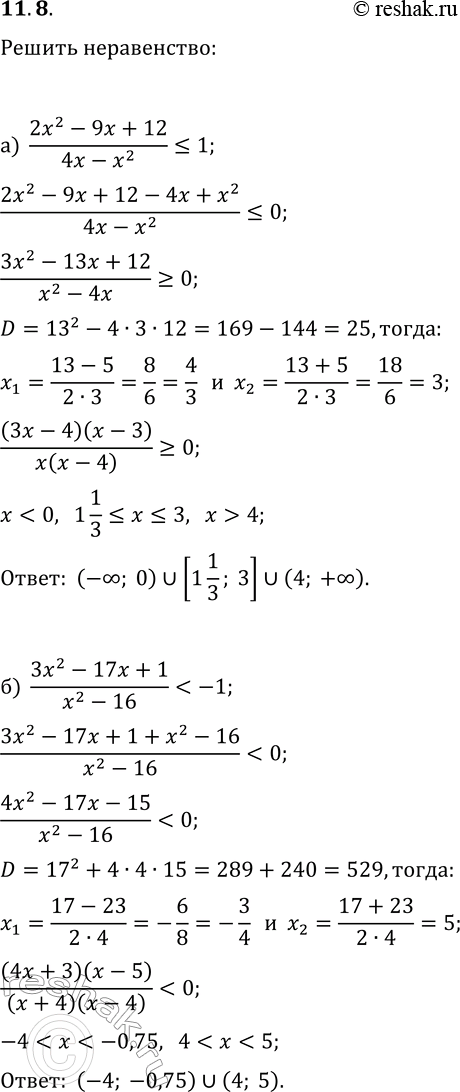
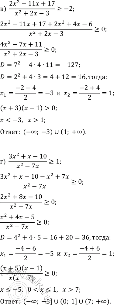
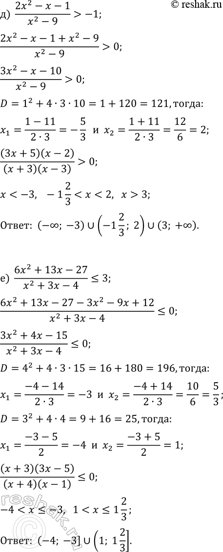
11.8. Решите неравенство: а) (2x^2-9x+12)/(4x-x^2)?1; г) (3x^2+x-10)/(x^2-7x)?1; б) (3x^2-17x+1)/(x^2-16) -1; в) (2x^2-11x+17)/(x^2+2x-3)?-2; е) (6x^2+13x-27)/(x^2+3x-4)?3. *Цитирирование задания со ссылкой на учебник производится исключительно в учебных целях для лучшего понимания разбора решения задания.



Ниже вариант решения задания из учебника Мордкович, Семенов, Александрова 9 класс, Бином:
11.8. Решите неравенство:
а) (2x^2-9x+12)/(4x-x^2)?1; г) (3x^2+x-10)/(x^2-7x)?1;
б) (3x^2-17x+1)/(x^2-16) -1;
в) (2x^2-11x+17)/(x^2+2x-3)?-2; е) (6x^2+13x-27)/(x^2+3x-4)?3.
