Упражнение 31.13 ГДЗ Мордкович Семенов 9 класс (Алгебра)
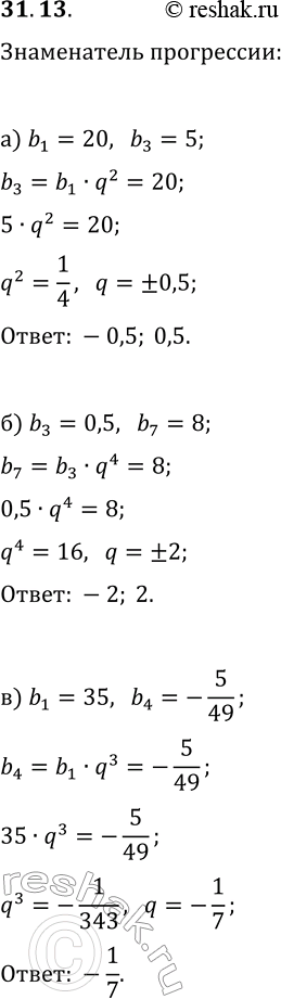
31.13. Найдите знаменатель геометрической прогрессии (b_n), если: а) b_1=20, b_3=5; г) b_2=-3, b_4=-75; б) b_3=0,5, b_7=8; д) b_1=100, b_5=0,16; в) b_1=35, b_4=-5/49;


Ниже вариант решения задания из учебника Мордкович, Семенов, Александрова 9 класс, Бином:
31.13. Найдите знаменатель геометрической прогрессии (b_n), если:
а) b_1=20, b_3=5; г) b_2=-3, b_4=-75;
б) b_3=0,5, b_7=8; д) b_1=100, b_5=0,16;
в) b_1=35, b_4=-5/49; е) b_2=-5, b_5=135.
