Упражнение 13.10 ГДЗ Мерзляк 10 класс Углубленный уровень (Алгебра)
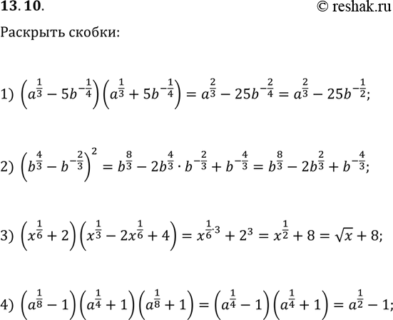
13.10. Раскройте скобки: 1) (a^(1/3)-5b^(-1/4))(a^(1/3)+5b^(-1/4)); 3) (x^(1/6)+2)(x^(1/3)-2x^(1/6)+4); 2) (b^(4/3)-b^(-2/3))^2; 4) (a^(1/8)-1)(a^(1/4)+1)(a^(1/8)+1). *Цитирирование задания со ссылкой на учебник производится исключительно в учебных целях для лучшего понимания разбора решения задания.

Ниже вариант решения задания из учебника Мерзляк, Номировский, Поляков 10 класс, Просвещение:
13.10. Раскройте скобки:
1) (a^(1/3)-5b^(-1/4))(a^(1/3)+5b^(-1/4)); 3) (x^(1/6)+2)(x^(1/3)-2x^(1/6)+4);
2) (b^(4/3)-b^(-2/3))^2; 4) (a^(1/8)-1)(a^(1/4)+1)(a^(1/8)+1).
