Упражнение 13.12 ГДЗ Мерзляк 10 класс Углубленный уровень (Алгебра)
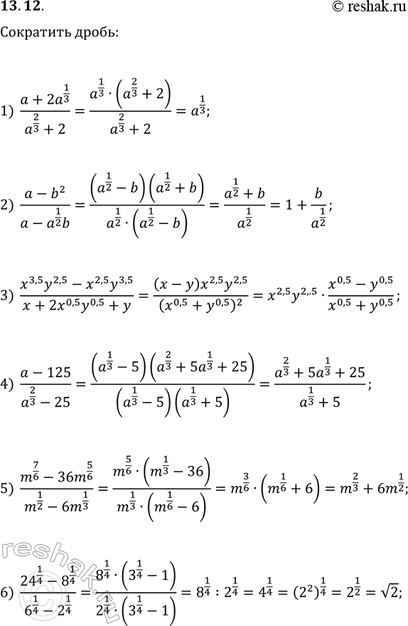
13.12. Сократите дробь: 1) (a+2a^(1/3))/(a^(2/3)+2); 2) (a-b^2)/(a-a^(1/2)b); 3) (x^3,5y^2,5-x^2,5y^3,5)/(x+2x^0,5y^0,5+y); 4) (a-125)/(a^(2/3)-25); 5) (m^(7/6)-36m^(5/6))/(m^(1/2)-6m^(1/3)); 6) (24^(1/4)-8^(1/4))/(6^(1/4)-2^(1/4)). *Цитирирование задания со ссылкой на учебник производится исключительно в учебных целях для лучшего понимания разбора решения задания.

Ниже вариант решения задания из учебника Мерзляк, Номировский, Поляков 10 класс, Просвещение:
13.12. Сократите дробь:
1) (a+2a^(1/3))/(a^(2/3)+2);
2) (a-b^2)/(a-a^(1/2)b);
3) (x^3,5y^2,5-x^2,5y^3,5)/(x+2x^0,5y^0,5+y);
4) (a-125)/(a^(2/3)-25);
5) (m^(7/6)-36m^(5/6))/(m^(1/2)-6m^(1/3));
6) (24^(1/4)-8^(1/4))/(6^(1/4)-2^(1/4)).
