Упражнение 13.15 ГДЗ Мерзляк 10 класс Углубленный уровень (Алгебра)
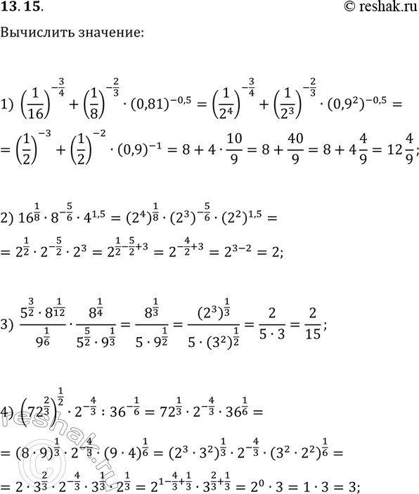
13.15. Вычислите значение выражения: 1) (1/16)^(-3/4)+(1/8)^(-2/3)·(0,81)^(-0,5); 2) 16^(1/8)·8^(-5/6)·4^1,5; 3) (5^(3/2)·8^(1/12))/9^(1/6)·8^(1/4)/(5^(5/2)·9^(1/3)); 4) (72^(2/3))^(1/2)·2^(-4/3):36^(-1/6). *Цитирирование задания со ссылкой на учебник производится исключительно в учебных целях для лучшего понимания разбора решения задания.

Ниже вариант решения задания из учебника Мерзляк, Номировский, Поляков 10 класс, Просвещение:
13.15. Вычислите значение выражения:
1) (1/16)^(-3/4)+(1/8)^(-2/3)·(0,81)^(-0,5);
2) 16^(1/8)·8^(-5/6)·4^1,5;
3) (5^(3/2)·8^(1/12))/9^(1/6)·8^(1/4)/(5^(5/2)·9^(1/3));
4) (72^(2/3))^(1/2)·2^(-4/3):36^(-1/6).
