Упражнение 13.13 ГДЗ Мерзляк 10 класс Углубленный уровень (Алгебра)
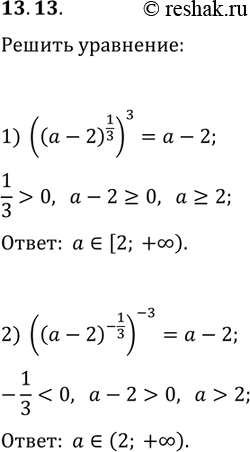
13.13. При каких значениях а выполняется равенство: 1) ((a-2)^(1/3))^3=a-2; 2) ((a-2)^(-1/3))^(-3)=a-2? *Цитирирование задания со ссылкой на учебник производится исключительно в учебных целях для лучшего понимания разбора решения задания.

Ниже вариант решения задания из учебника Мерзляк, Номировский, Поляков 10 класс, Просвещение:
13.13. При каких значениях а выполняется равенство:
1) ((a-2)^(1/3))^3=a-2; 2) ((a-2)^(-1/3))^(-3)=a-2?
