Упражнение 2.8 ГДЗ Мерзляк 11 класс Базовый уровень (Алгебра)
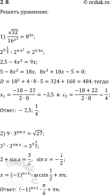
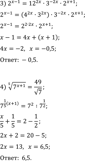
2.8. Решите уравнение: 1) v32/16^(x^2)=8^(3x); 3) 2^(x-1)=12^(2x)·3^(-2x)·2^(x+1); 2) 9·3^(sin(x))=v27; 4) (7^(x+1))^(1/5)=49/v7. *Цитирирование задания со ссылкой на учебник производится исключительно в учебных целях для лучшего понимания разбора решения задания.


Ниже вариант решения задания из учебника Мерзляк, Номировский, Полонский 11 класс, Просвещение:
2.8. Решите уравнение:
1) v32/16^(x^2)=8^(3x); 3) 2^(x-1)=12^(2x)·3^(-2x)·2^(x+1);
2) 9·3^(sin(x))=v27; 4) (7^(x+1))^(1/5)=49/v7.
