Упражнение 2.7 ГДЗ Мерзляк 11 класс Базовый уровень (Алгебра)
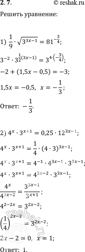
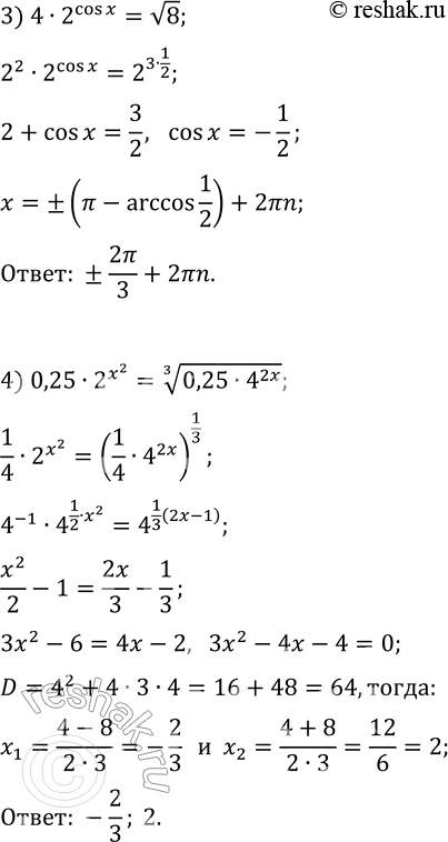
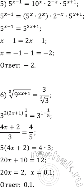
2.7. Решите уравнение: 1) (1/9)·v(3^(3x-1))=81^(-3/4); 4) 0,25·2^(x^2)=(0,25·4^(2x))^(1/3); 2) 4^x·3^(x+1)=0,25·12^(3x-1); 5) 5^(x-1)=10^x·2^(-x)·5^(x+1); 3) 4·2^(cos(x))=v8; 6) (9^(2x+1))^(1/3)=3/3^(1/5). *Цитирирование задания со ссылкой на учебник производится исключительно в учебных целях для лучшего понимания разбора решения задания.



Ниже вариант решения задания из учебника Мерзляк, Номировский, Полонский 11 класс, Просвещение:
2.7. Решите уравнение:
1) (1/9)·v(3^(3x-1))=81^(-3/4); 4) 0,25·2^(x^2)=(0,25·4^(2x))^(1/3);
2) 4^x·3^(x+1)=0,25·12^(3x-1); 5) 5^(x-1)=10^x·2^(-x)·5^(x+1);
3) 4·2^(cos(x))=v8; 6) (9^(2x+1))^(1/3)=3/3^(1/5).
