Упражнение 7.6 ГДЗ Дорофеев Суворова 7 класс (Алгебра)
а) х2 + х6; б) 5z4 + 15z8; в) 6у4 - 9у2; г) x2 - 2ху; д) ab + а2; е) у3 - 4у2;

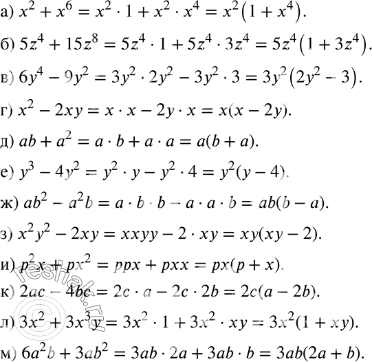
Ниже вариант решения задания из учебника Дорофеев, Суворова, Бунимович 7 класс, Просвещение:
а) х2 + х6;
б) 5z4 + 15z8;
в) 6у4 - 9у2;
г) x2 - 2ху;
д) ab + а2;
е) у3 - 4у2;
ж) ab2 - а2b;
з) х2у2 - 2ху;
и) р2х + рх2;
к) 2ас - 4bс;
л) 3х2 + 3х3у;
м) 6а2b + 3аb2.
