Упражнение 7.7 ГДЗ Дорофеев Суворова 7 класс (Алгебра)
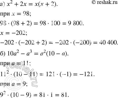
Найдите значение выражения: а) х2 + 2х при х = 98; при х = -202; б) 10а2 - а3 при а = 11;

Ниже вариант решения задания из учебника Дорофеев, Суворова, Бунимович 7 класс, Просвещение:
Найдите значение выражения:
а) х2 + 2х при х = 98; при х = -202;
б) 10а2 - а3 при а = 11; при а = 9.
