Упражнение 176 ГДЗ Колягин Ткачёва 7 класс (Алгебра)
Не выполняя действий, объяснить, почему является неверным равенство: 1) 18,07-23,2•5=78,93; 2) 0,48•17=81,6; 3) 2/3•1/4•2/7=1 1/21; 4) 3/7•(-0,49)=2,1; 5) 4/3•5/7•(-0,3)=12/13; 6) 4/3•7/5•1,1=13/14.


Ниже вариант решения задания из учебника Колягин, Ткачёва, Фёдорова 7 класс, Просвещение:
Не выполняя действий, объяснить, почему является неверным равенство:
1) 18,07-23,2•5=78,93;
2) 0,48•17=81,6;
3) 2/3•1/4•2/7=1 1/21;
4) 3/7•(-0,49)=2,1;
5) 4/3•5/7•(-0,3)=12/13;
6) 4/3•7/5•1,1=13/14.
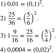
Записать в виде степени с показателем 2:
1) 0,01;
2) 25/36;
3) 1 9/16;
4) 0,0004.
