Упражнение 191 ГДЗ Колягин Ткачёва 7 класс (Алгебра)
Указать, какие числовые значения могут принимать буквы a и b в алгебраических выражениях: 1) (a-b)/2; 2) (a-2)/b; 3) b/(a-2); 4) 2/(a-b).Возвести в степень дробь:


Ниже вариант решения задания из учебника Колягин, Ткачёва, Фёдорова 7 класс, Просвещение:
Указать, какие числовые значения могут принимать буквы a и b в алгебраических выражениях:
1) (a-b)/2; 2) (a-2)/b; 3) b/(a-2); 4) 2/(a-b).
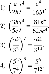
Возвести в степень дробь:
1) (a/2b)^4;
2) (3b/5c)^4;
3) (2^3/3^2 )^7;
4) (5^2/7^4 )^3.
