Упражнение 192 ГДЗ Колягин Ткачёва 7 класс (Алгебра)
Найти в ряду натуральных чисел: 1) 10-е; 99-е четное число; 2) 112-е; 77-е нечетное число.Возвести в степень дробь: 1) ((a+b)/3)^3; 2) (7/(2+c))^2;


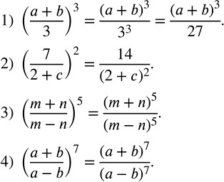
Ниже вариант решения задания из учебника Колягин, Ткачёва, Фёдорова 7 класс, Просвещение:
Найти в ряду натуральных чисел:
1) 10-е; 99-е четное число;
2) 112-е; 77-е нечетное число.
Возвести в степень дробь:
1) ((a+b)/3)^3;
2) (7/(2+c))^2;
3) ((m+n)/(m-n))^5;
4) ((a+b)/(a-b))^7.
